これもなかなか難しい質問です.
ネットを見ると,
両者とも運動の勢いを表す量
ではありますが,
運動量:運動しているもの,方向性を持ったもの
であるのに対し,
エネルギー:どこかに蓄えられているもの
と言う違いで説明していますね.
具体的な違いを一つあげてみましょう.
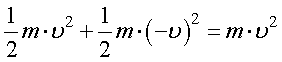
ある系に,質量,m,を持ち,速度が,v,-vを持った物体があるとします.
この二つの物体が正面から衝突する,と言う場合を考えましょう.

系全体の運動量は,
![]()
となり,0,です.
系全体のエネルギーは,

となり,有限の値となります.
さて,衝突前後の,運動量,エネルギーは保存します.
衝突した際には,そのまま反発する,静止するという二つの場合を想定することができます.
もちろんその中間も存在しますが.
まずは完全に反発する場合,l

この場合の,運動量,エネルギー,は上記の式通りですね.
保存しています.
では,衝突して二つとも静止した場合を考えましょう.

この場合の,運動量,エネルギーはそれぞれ,0,となります.
運動量は,衝突前後とも0ですが,エネルギーはどこに行ってしまったのでしょう?
その一つの可能性として,熱に変換されてしまった,と言うことがあります.

運動のエネルギーが熱エネルギーに変換されてしまったのです.
つまり,エネルギーはなくならずに保存していることになるのです.
衝突前:運動エネルギー
衝突後:熱エネルギー
では,最初から静止している二つの物体を考えましょう.

このときの,エネルギー,運動量ともに,0,です.
この状態から,突然,二つが,v,の速度で離れてしまったとしましょう.

この際の,運動量は0のままで保存しています.
しかし,エネルギーは0から有限の値,mv2,となっています.
これは,保存則を考えても,明らかにおかしいですね.
つまり,このようなことは起きえないのです.
こういった違いが,運動量,エネルギーにはあるのです.
さて,生物物理の世界(我々の分野?)では,ほとんど運動量は使いませんので,ここでは,エネルギーに関していろいろと説明していきましょう.