これをきちんと幾何学的に解くには,

赤い線と,青い点線との交点がX軸(レンズの中心を0)において,ちょうど焦点位置,f,となればいいのです.
さて,二つの三角形に注目してみましょう.

ピンクとクリーム色です.
この二つの三角形は相似です,つまり,底辺と高さの比が同じになるはずです.

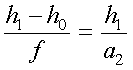
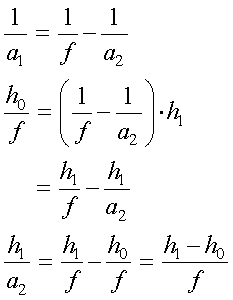
さて,この計算を解くには上の図から,次の二つの式が導き出せます.

最初の式はレンズの公式,二つ目の式はレンズの左側の三角形の合同から導き出せますね.
レンズの公式を変形して,a1,を消去しましょう.

となり,見事上の式と同じになりました.
つまり,平行光をレンズに照射すると焦点で集光する,と言うことです.
具体的なイメージは次のページに示しましょう.