位相において合成 ,分割は成り立つのか?
まず,以下のようなモデルを考えてみましょう.

ここで,赤い矢印である”試料を通って結像した光線”,すなわち若干の位相のずれを持つ光線が,
位相の遅れのない光線,と,位相の遅れのある光線
とに分割(もしくはその逆の合成)が可能か,を考えてみます.
幾何学的に解くと,

このような平行四辺形を考えると楽ですね.つまり,
B = A + C
となればよいのです.また簡単のために,この円の半径を,1,とします.すると,

を満たすことを証明すればよいのですね.
まずは,線分Cの長さ,x,について考えましょう.線分CはAとBで作る二等辺三角形の底辺と長さが等しいので,補助線を引いて,

この矢印の長さは,

なので,その二倍,

となります.
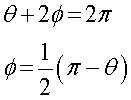
次に,θとφとの関係を見ていきましょう.先ほどの二等辺三角形から,

つまり,

となります.
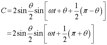
三角形の公式,sin(A+B)=sinAcosB+sinBcosA,cos(θ+π/2)=-sinθ, sin(θ+π/2)=cosθ(を使って,

さらに公式,sin2θ=(1-cos2θ)/2, sinαcosβ=1/2*[sin(α+β)+sin(α-β)],から,

となり,位相においても合成,分解が成り立つことが証明されました.