球冠,球帯の面積の求め方-02

 

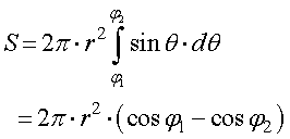
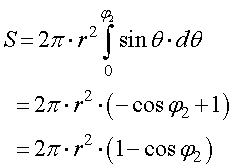
球をある平面で切り取った部分,球冠,の表面積は,以下の図で示すように,

積分範囲を,0からL2までにすればよいので,

と表すことができます.

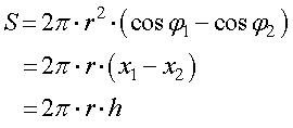
では,今日を2枚の平面で切り取った部分,球帯,の表面積は....これも積分範囲の指定だけで計算でき,

と書くことができます.ここで,

ですので,

と非常に簡単な式となります.
つまり,
 大円の円周と厚みを掛けたものが円帯の表面積(底面,上面は含まない)
となります.

 

l t