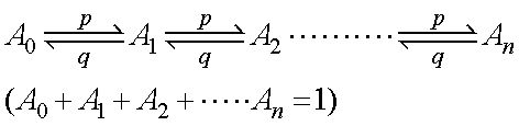
平衡反応における平均,分散,においては,以下のような反応式を考えました.

これは,Aの添え字を重合したタンパクの数,と考えると,An,はn個重合したフィラメント,と考えることができます.

重合過程においては,結合,解離が起こっており(速度定数は,p,q),その平衡状態を我々が見るとすると,A0(長さ0)からAn(長さn)までいろいろな状態を取ることができます.
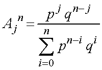
各状態の存在確率は,ここ,にありますように,

となりますので,この計算を考えればいいことになります.
さて,ここで右辺の分母は一定なので,分子のみを考えていきましょう.
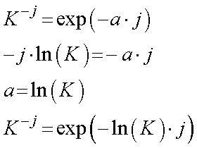
平衡定数から,

となります.ここで,

とすると,

と置き換えることができます.従って,

となり,結果的に,

と指数関数的な分布となることがわかります.
K<1,の場合には,短いものが一番多く,指数関数的に減少していくことになります.
K>1,の場合には逆に長いものが一番多くなりますが,これは最大長さをAn,で制限した場合です.
では,大沢理論ではどうなるでしょう?