FLIMにおける 蛍光強度の減少
FLIM,という蛍光寿命の測定方法があります.
FLIMとは,蛍光寿命測定法(Fluorescence Lifetime Imaging Microscopy) .
これは,私は使ったことがありませんが,私の理解では,
パルスレーザーにより,一過的に蛍光を励起させる
その後の蛍光の退色の時間経過を見る
というもので,
そのため,グラフの横軸は数十ナノ秒オーダーという非常に短い時間での計測となります.
さて,その減衰の状況は,指数関数で表すことができ,一般的には,
一つの指数関数
で表すことが多いようですが,
二つの指数関数の和
で表すことができる現象もあるようです.
具体的には,
PubMedID 22426226 Journal Nat Commun, 2012;705,
Title Intracellular temperature mapping with a fluorescent polymeric thermometer and fluorescence lifetime imaging microscopy.
Author Okabe K, Inada N, ..., Funatsu T, Uchiyama S
の結果のように.
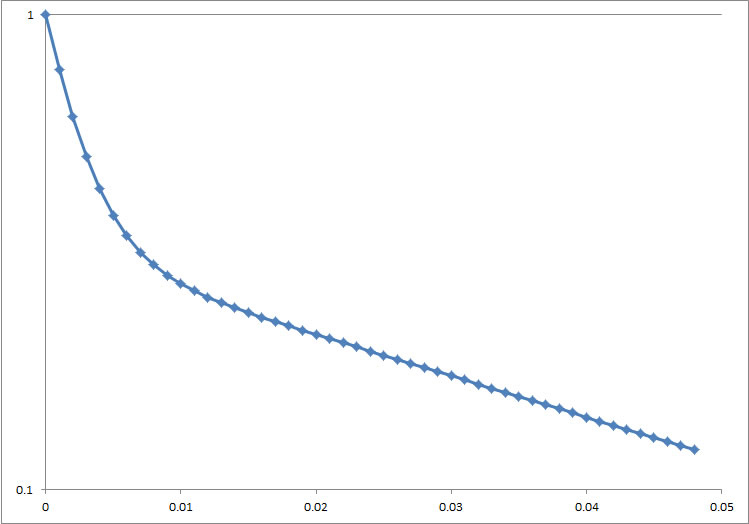
通常は,片対数(蛍光強度を対数表示)で表すので,二つの直線でフィットできるようです.
さて,この状況は,どのように考えればいいのでしょう?
論文には,
fast and slow fluorescence decays of FPT originated from the hydrogen-bonded and the hydrogen bond-free DBD-AA units,
とあり,つまり,
二つの逐次反応で,早い反応と遅い反応とに分けることができる
というものでした.
逐次反応というと,ここ,で説明したように,
![]()
なる反応です.ここで,
A:初期状態(蛍光を発する)
B:中間状態(蛍光を発する)
C:退色状態(蛍光を発しない)
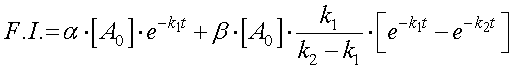
とすると,観察できる蛍光は,AとBの状態の和となります.
もちろん,A状態とB状態では蛍光強度は違うと考えていい(同じでもいい)ので,それを加味すると,
![]()

から,

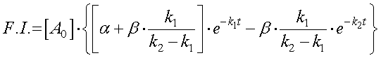
となります.整理すると,

この,第1,2項の係数が”+”となる条件があればいいわけです.
第2項を見ると,マイナスがついていますので,
k1 >k2
である必要があります.
さらに,第一項の係数も”+”となる必要がありますが,これを吟味してもなかなか条件がはっきりしません.
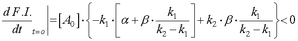
そこで,このように考えてみましょう.
蛍光は下がる方向にある
という事実です.つまり,
微分値は常にマイナス
です.
そこで,t=0,での微分値を計算してみましょう.


となります.
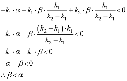
つまり,
k1 >k2 : 早い反応のあとに遅い反応がくる
β > α : 最初の状態の蛍光の方が強い
というに条件を満たせば,
二つの指数関数の和
で蛍光強度が減少することとなります.
エクセルで計算すると,このようになります.
